Want to know where your funds are invested and where your money is secured?
Are you a Trustee looking for a sound investment opportunity?
Want to choose loans you invest in as a lender and see your tangible investment in action?
Looking to invest in loans over real property secured by registered mortgages in New Zealand?
Are you an accountant, lawyer or fund manager? Find out how we work with you to make money work.
Are you an individual investor or a small business owner looking for an investment strategy that's easy to understand? We can assist you.
We offer:
- An income stream at a level typically higher than bank deposits.
- Consistent returns for Members because we lend against secured property to mitigate against any downwards shift in the property market that may result in loan defaults.
- A history of experience spanning over 50 years with Albert Alloo & Sons Lawyers Nominee Company Limited. Now formed as Obsidian Group Limited we are a registered MIS-Other scheme under the Financial Markets Conduct Act 2013.
You choose:
Your money will be invested in loans which you select and contribute to as a lender.
Where you select to invest in a proportion of a loan, your money will be pooled with other investors' money and together you will contribute, as lenders, to the particular loan.
We will ensure that you are not exposed to loans you have not chosen to invest in.
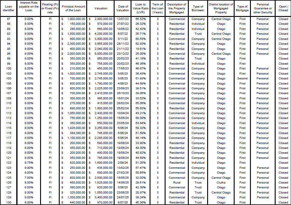
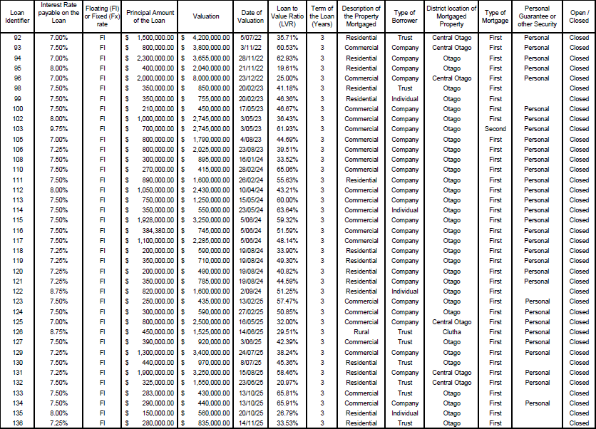
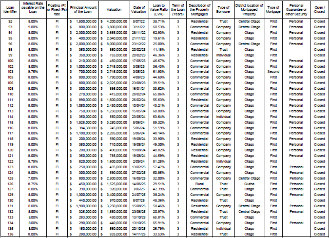
Loans offered by the Scheme for the Quarter ending 30 September 2025
